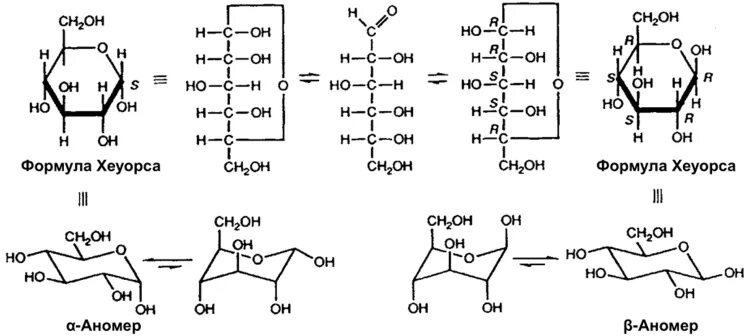
Как найти циклическую формулу