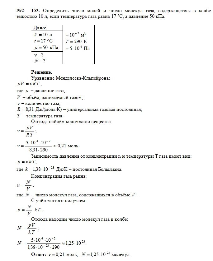
Как определить число молекул