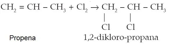
Как пропан так и пропен взаимодействует с