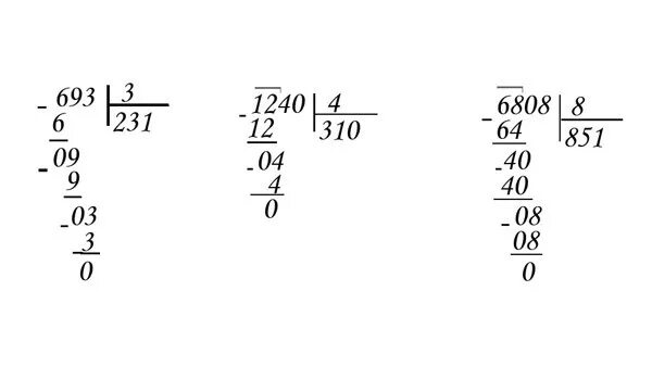
Как решать столбиком разделить