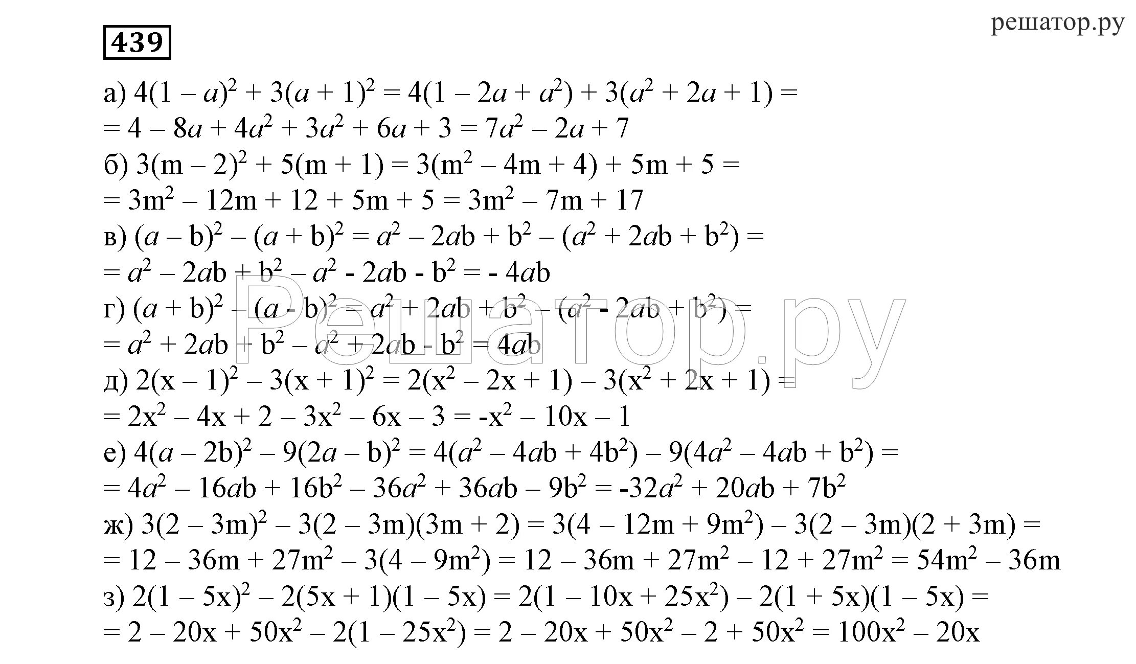
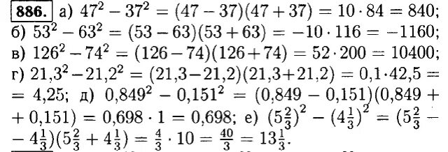
Как сделать алгебру 7