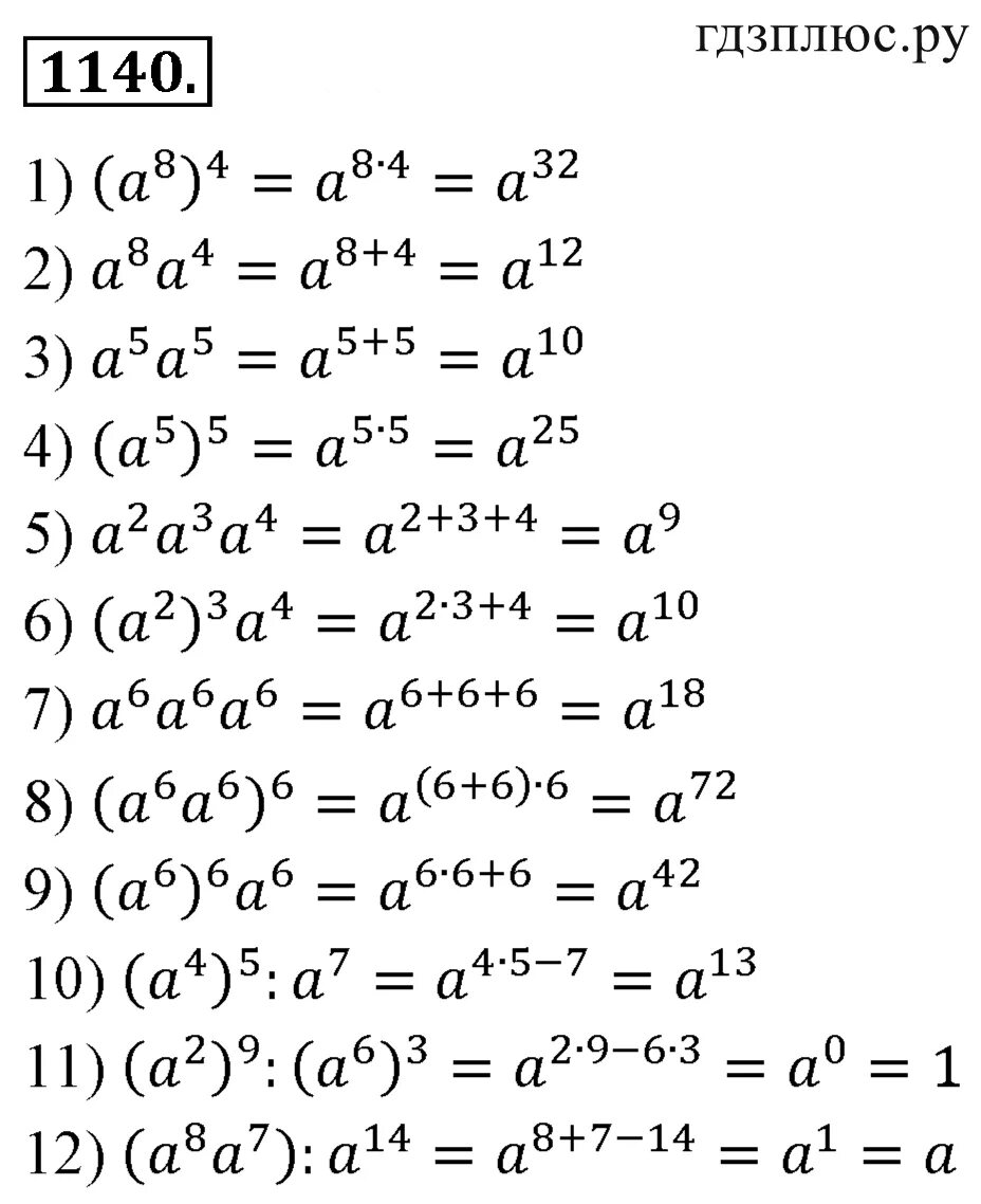
Как сделать алгебру 7 класс мерзляк