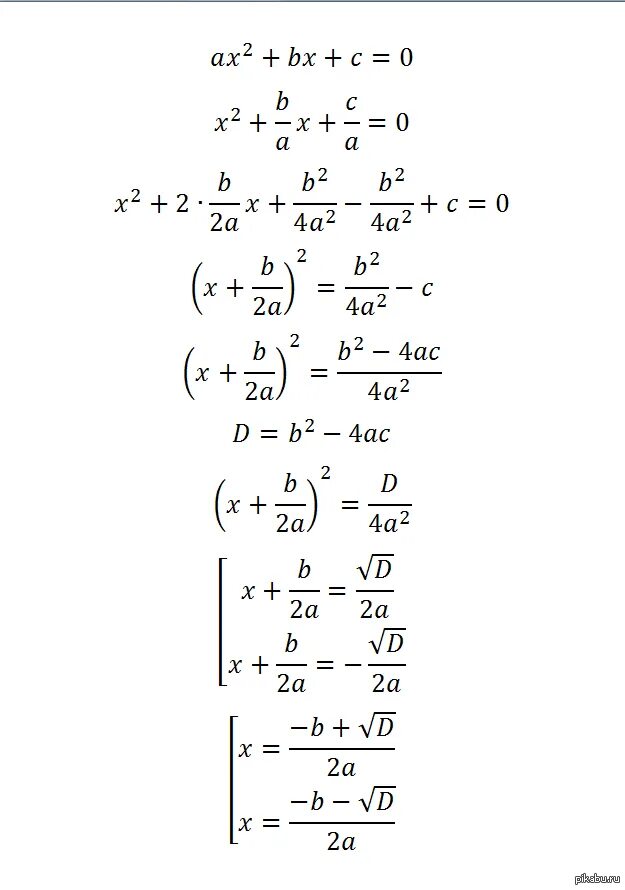
Как вывести дискриминант