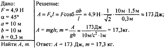
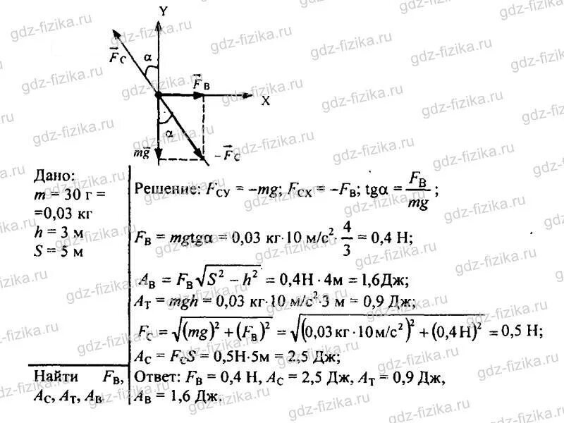
Какие силы совершают работу при падении