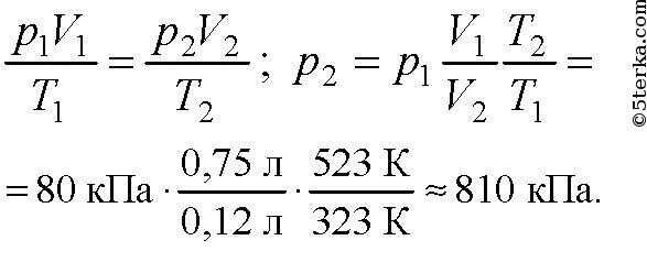
Какое давление рабочей смеси устанавливается