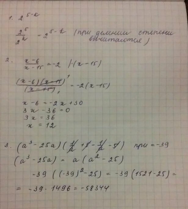
Какое из выражений равно степени 5