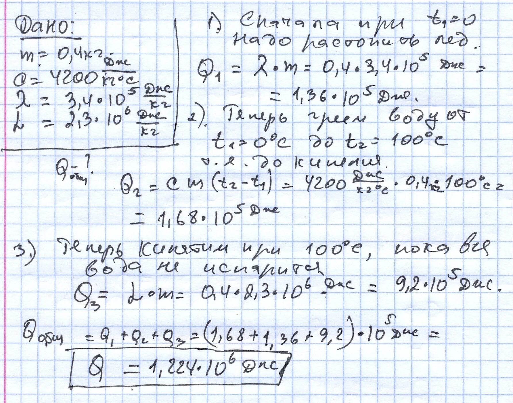
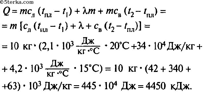
Какое количество льда взятого при температуре 0