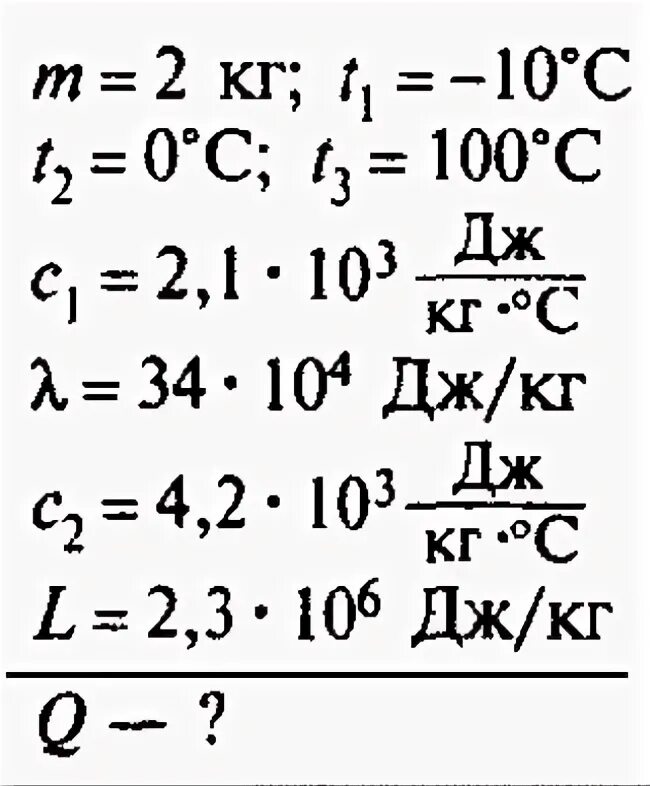
Какое количество теплоты необходимо сообщить 10