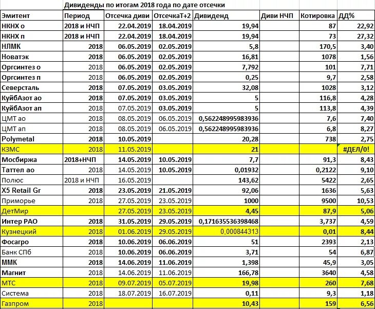
Календарь дивидендов российских