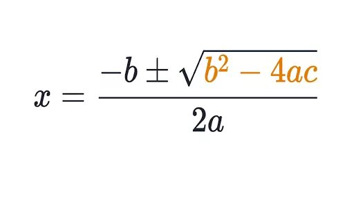
Калькулятор вычисления дискриминанта