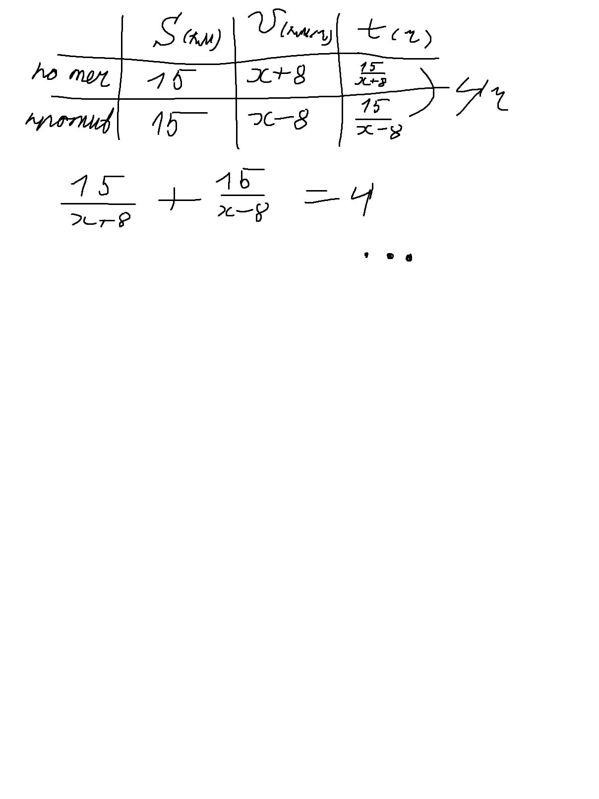
Катер собственная скорость которого 8 4 км