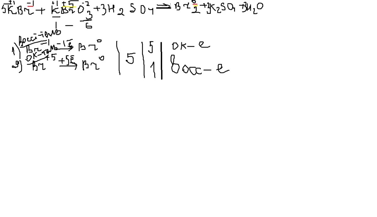
Kbr i2 h2o