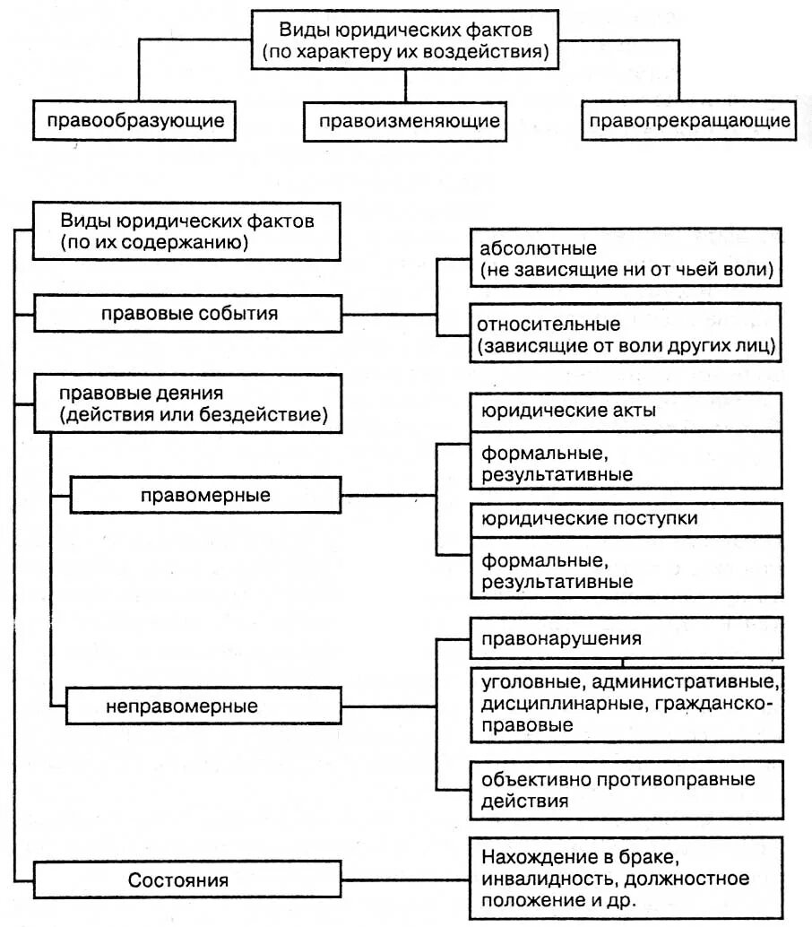
Классификация юридических фактов схема