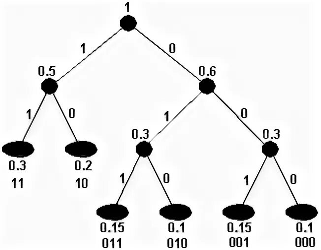
Кодировка фано