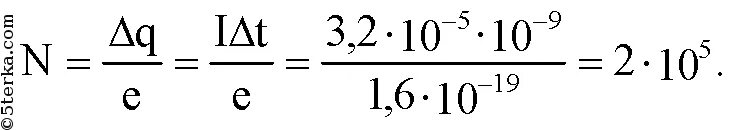
Количество электронов проходит через поперечное сечение