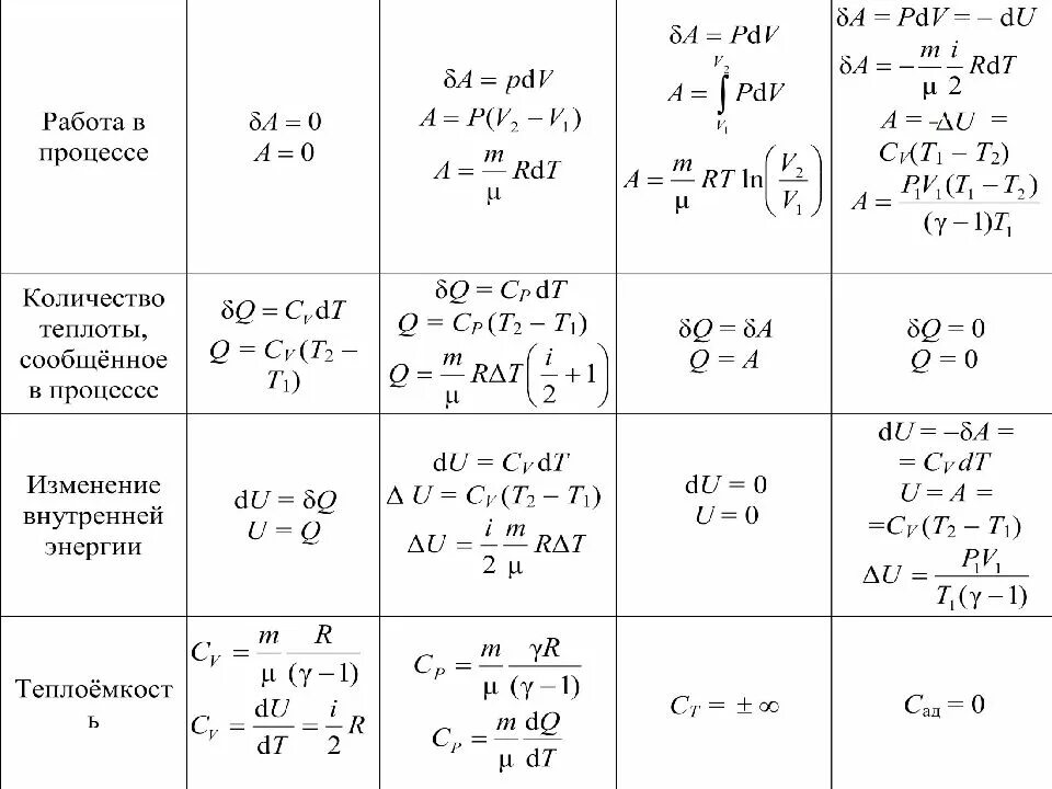
Количество теплоты равно работе газа