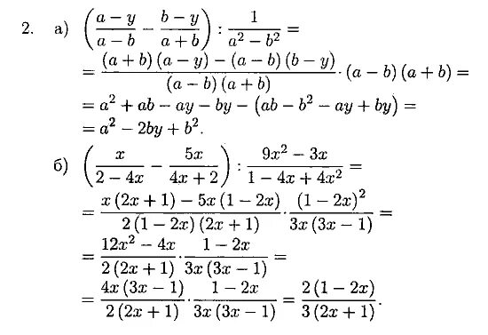
Контрольная работа 1 алгебраические выражения вариант 2