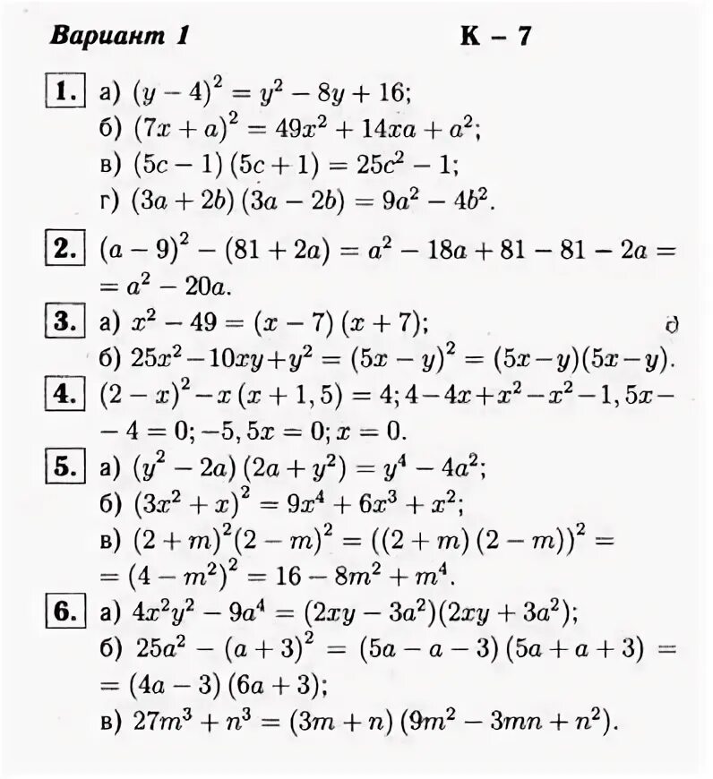
Контрольная работа седьмого класса с ответами