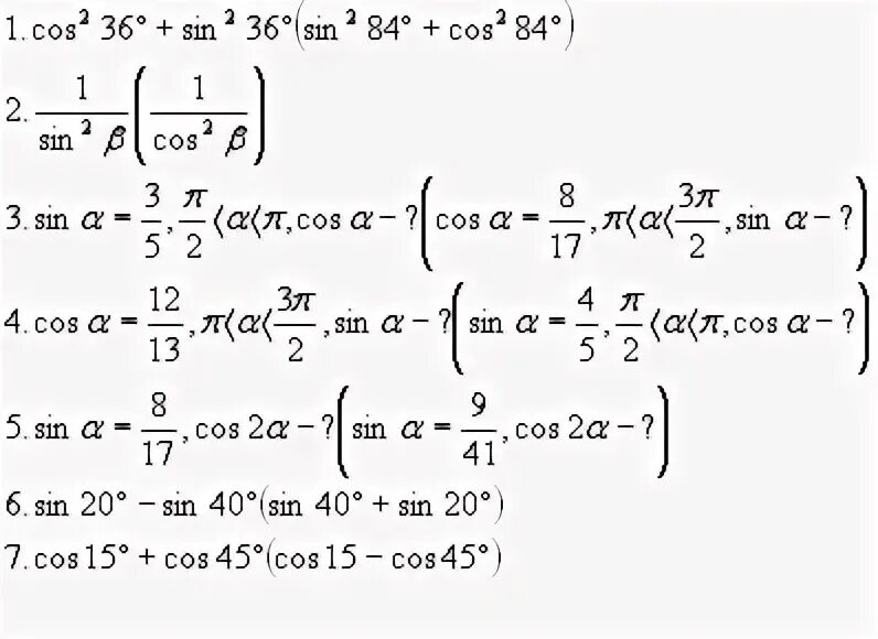
Контрольная работа тригонометрические выражения 10 класс