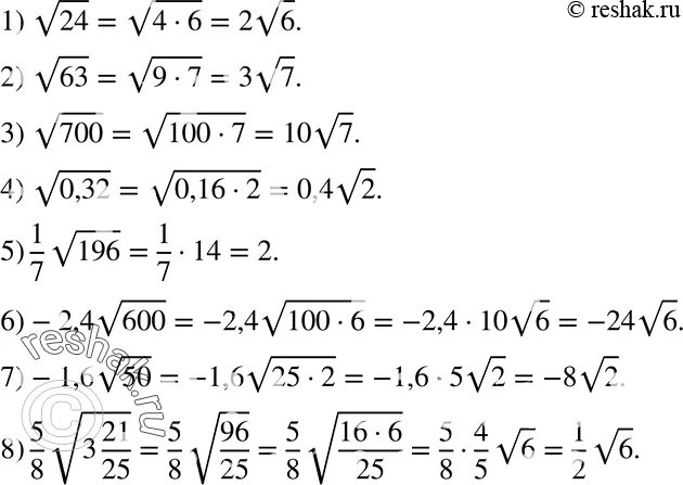
Корень 0 196