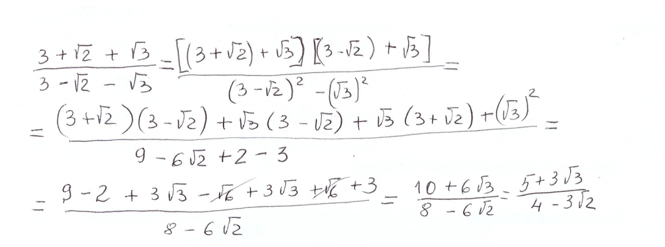
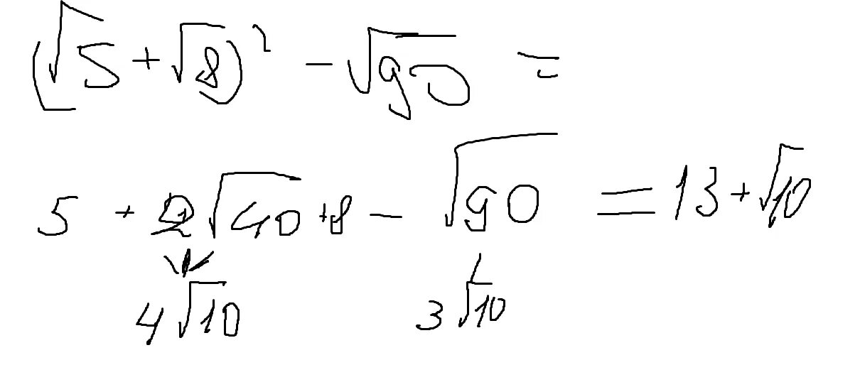
Корень 2 плюс корень 3 в квадрате