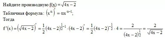
Корень 3 4 x2 1