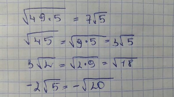
Корень 45 корень 5