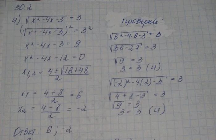
Корень 7x 2