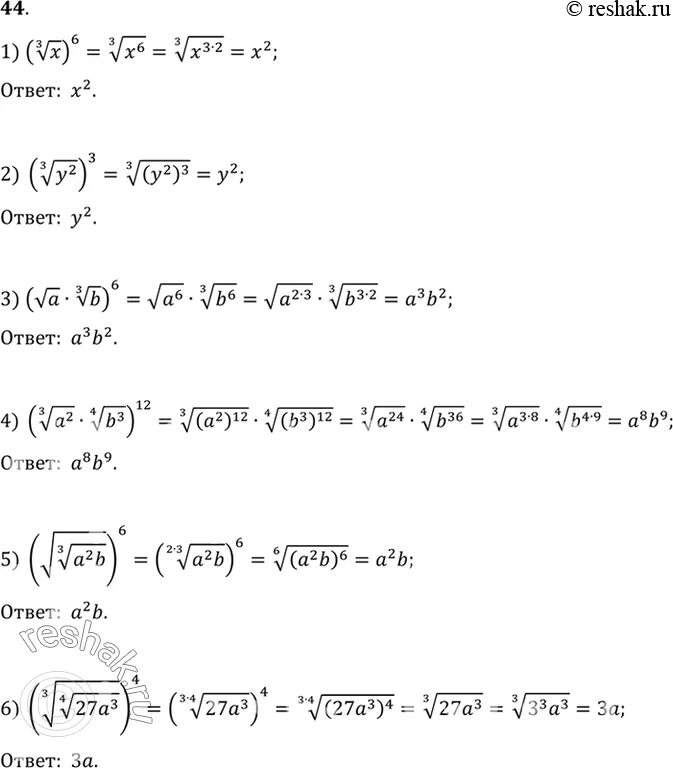
Корень a2 a 6 при a 2