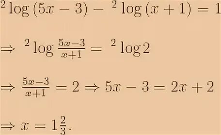
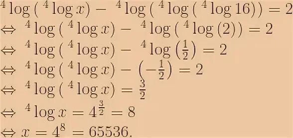
Left 1 log 5 1 right