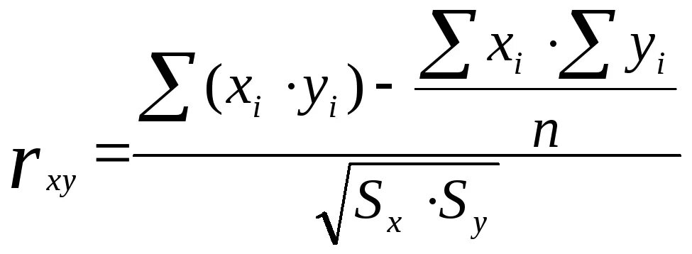
Лемма пирсона