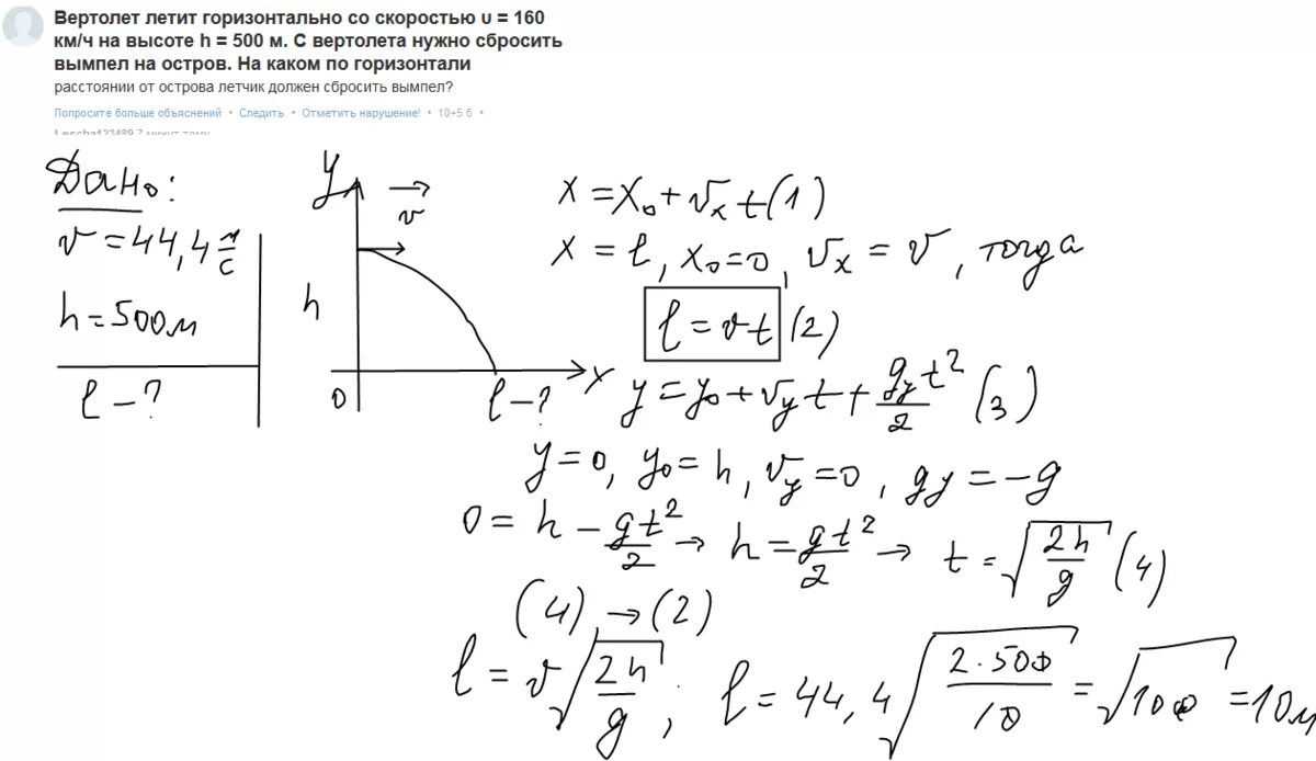
Летит горизонтально