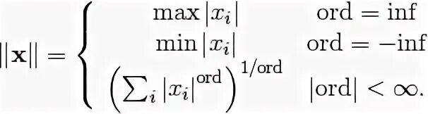
Linalg norm