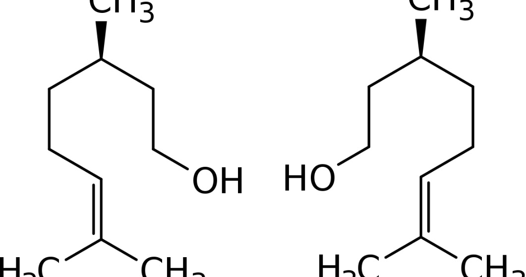
Линалоол