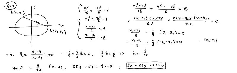
Линии второго уровня