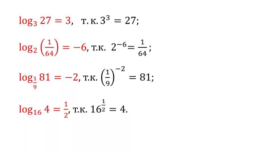
Log 1 16