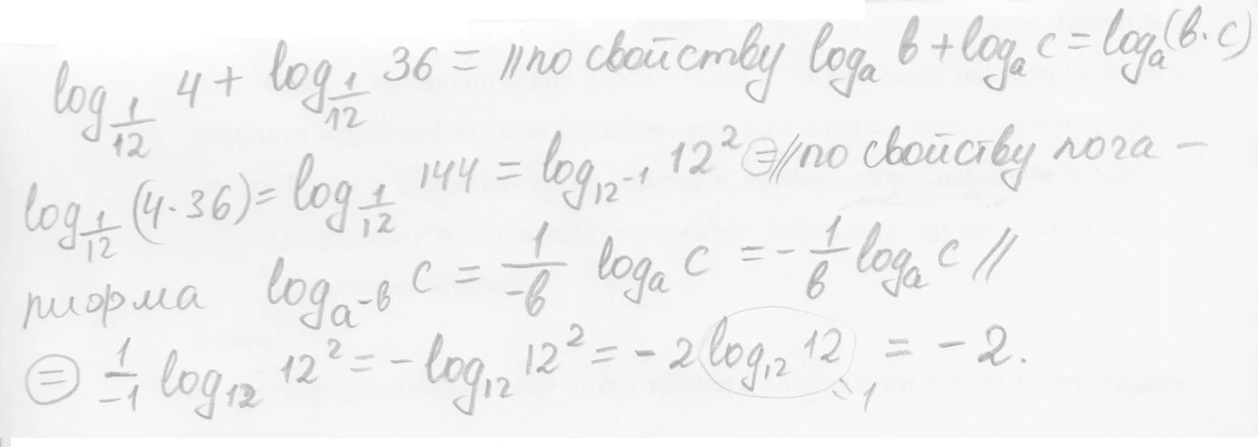
Log 1 36 4