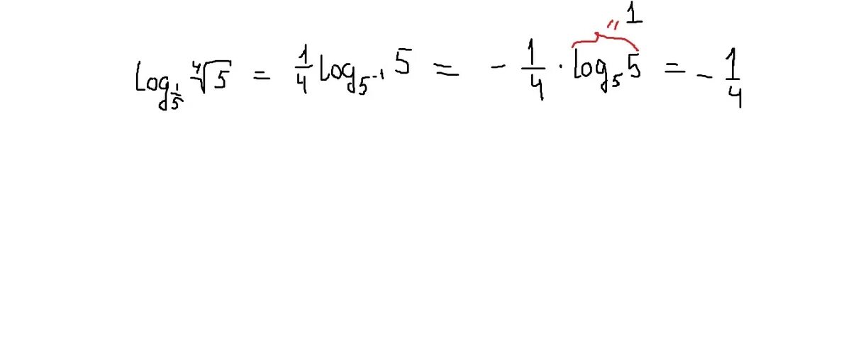
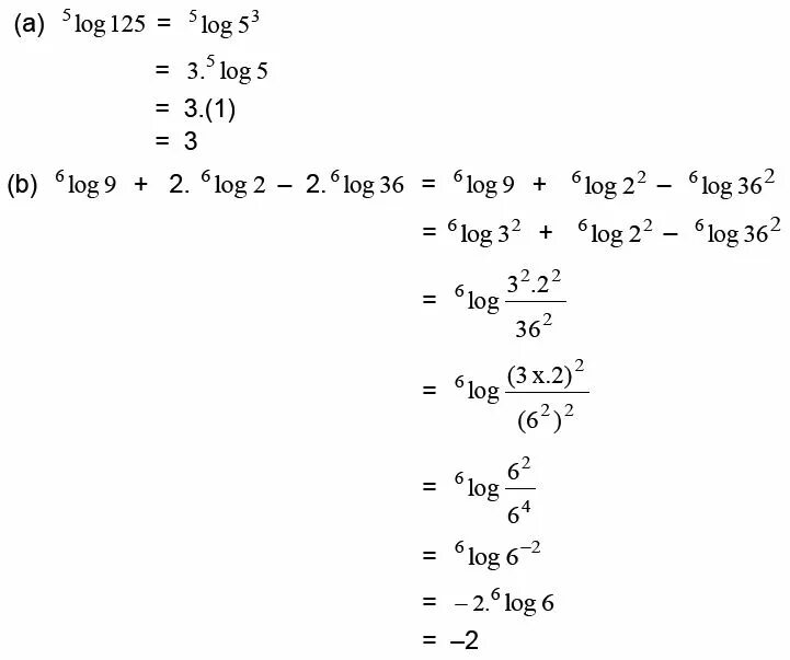
Log 1 5 125 3