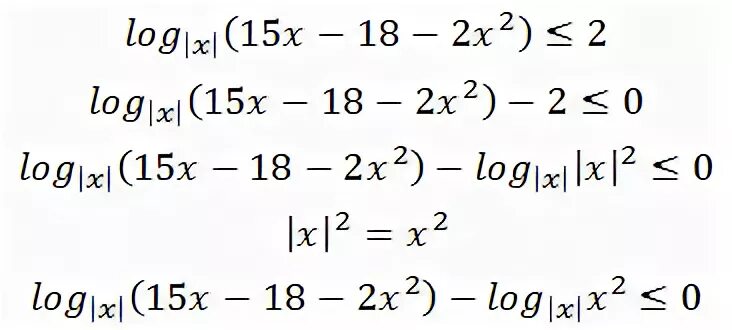
Log 15 5 log 15 3