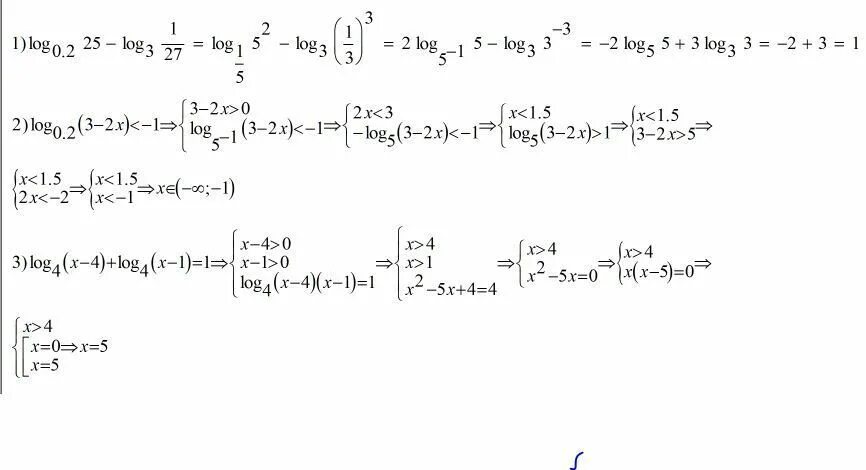
Log 2 3 x 16 0