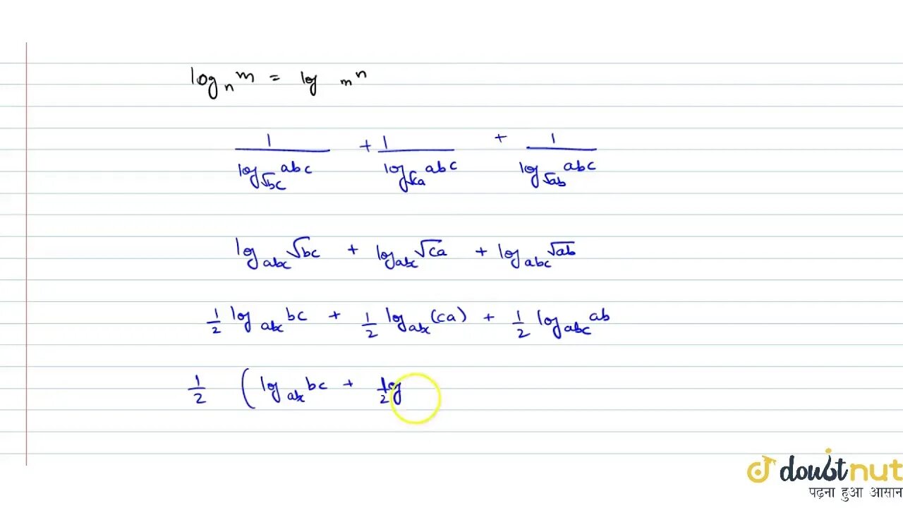
Log 2 sqrt 5 1 5