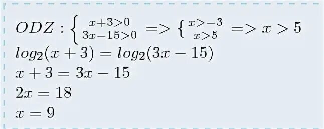
Log 2x 5 2