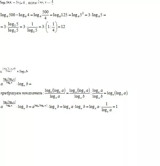
Log frac 1 3 13 x 2