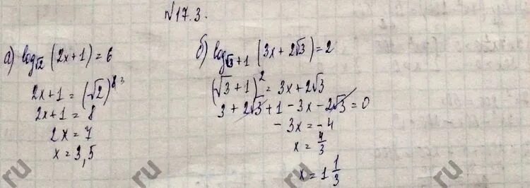
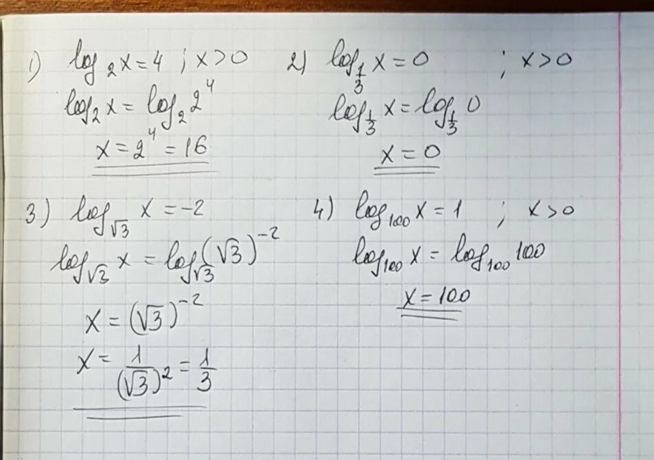
Log корень 3 x