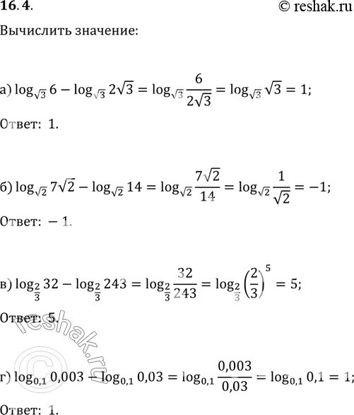
Log корень 6