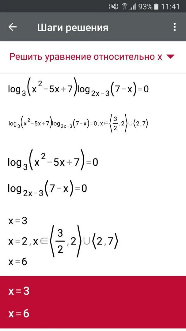
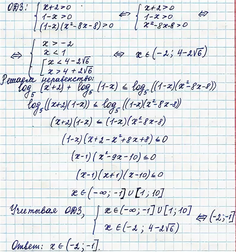
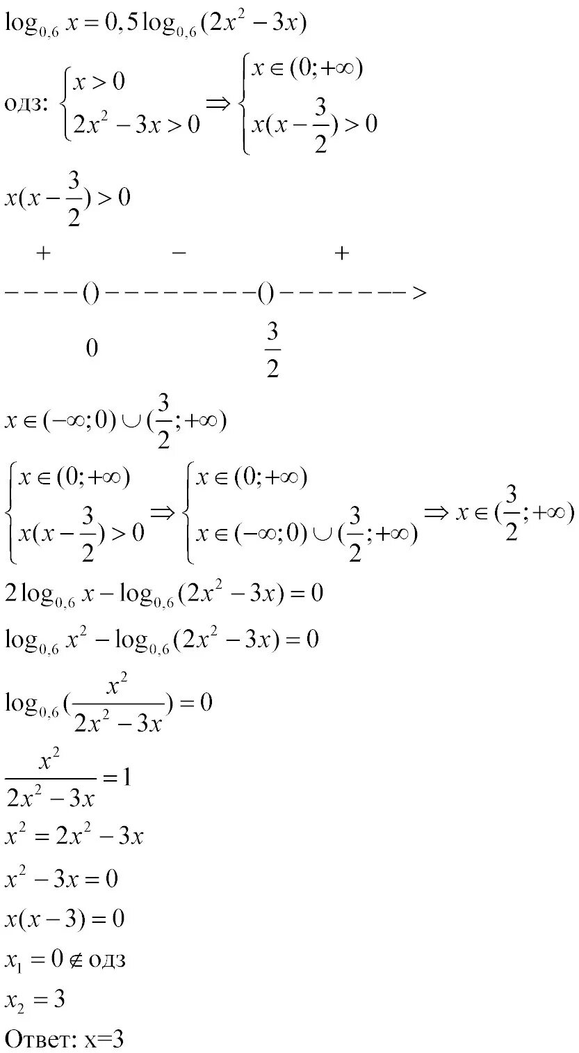
Log0 5 x 3