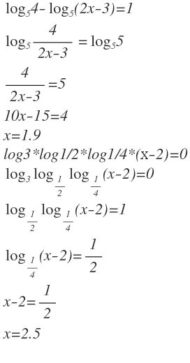
Log1 5 0 5 3 1