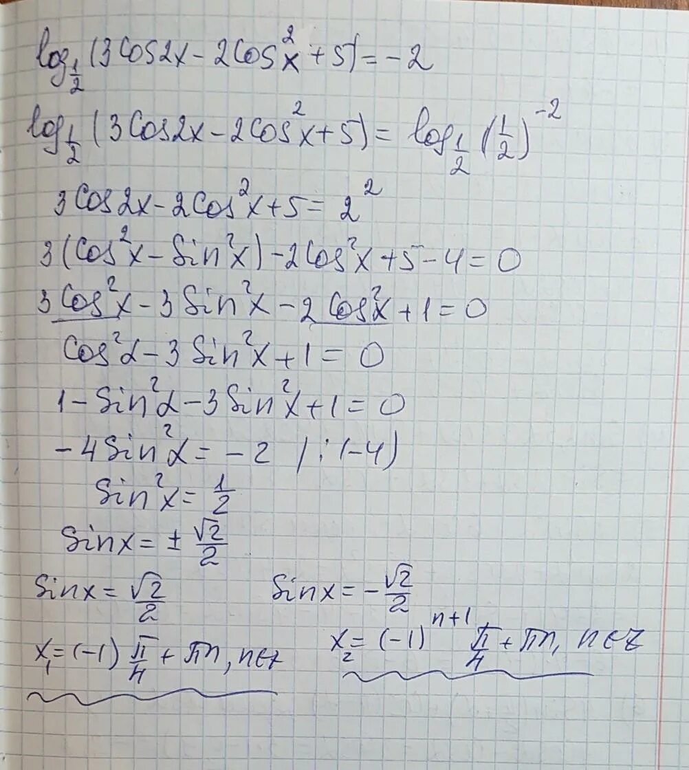
Log2 2x 5 3