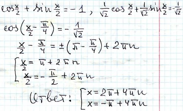
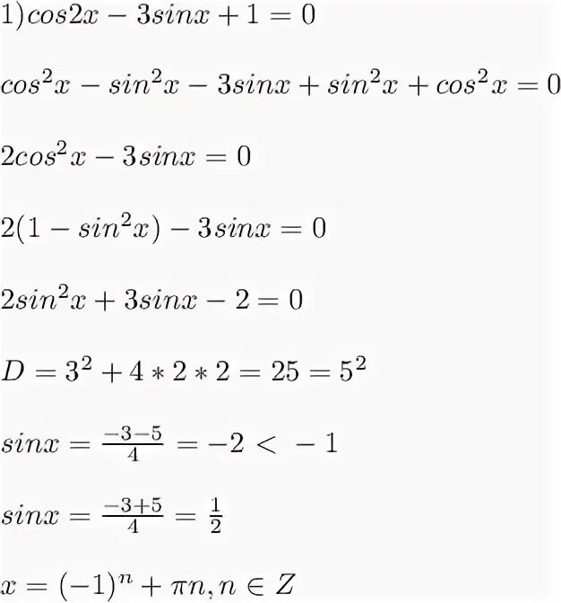
Log2 sinx 0