Главная
»
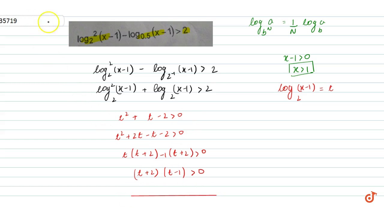
Log2x log
Log2x log. Лог0 5 х+5 лог2 0.2. 1-log0.2x. log_(12)〖(x^2-1)(x+2)〗. log2x<12.
« Предыдущее
30 / 40
Следующее »